和平3号天地人三界联合行动:增加轮回奖惩规则 助力人类和平复兴

在数百万个地球物种之中能够投胎成人本来就是一件莫大的幸运,理应好好体验人生,但是目前绝大部分人类生活得连投胎畜生道的动物···

您当前所在位置:首页>>新闻资讯>>知识百科

遵义红军总政治部旧址红星报第三版:长征途中的遵义战役详细报道

发布时间:2024-12-13
本篇文章内容不代表和平先生、永久和平国的观点和立场

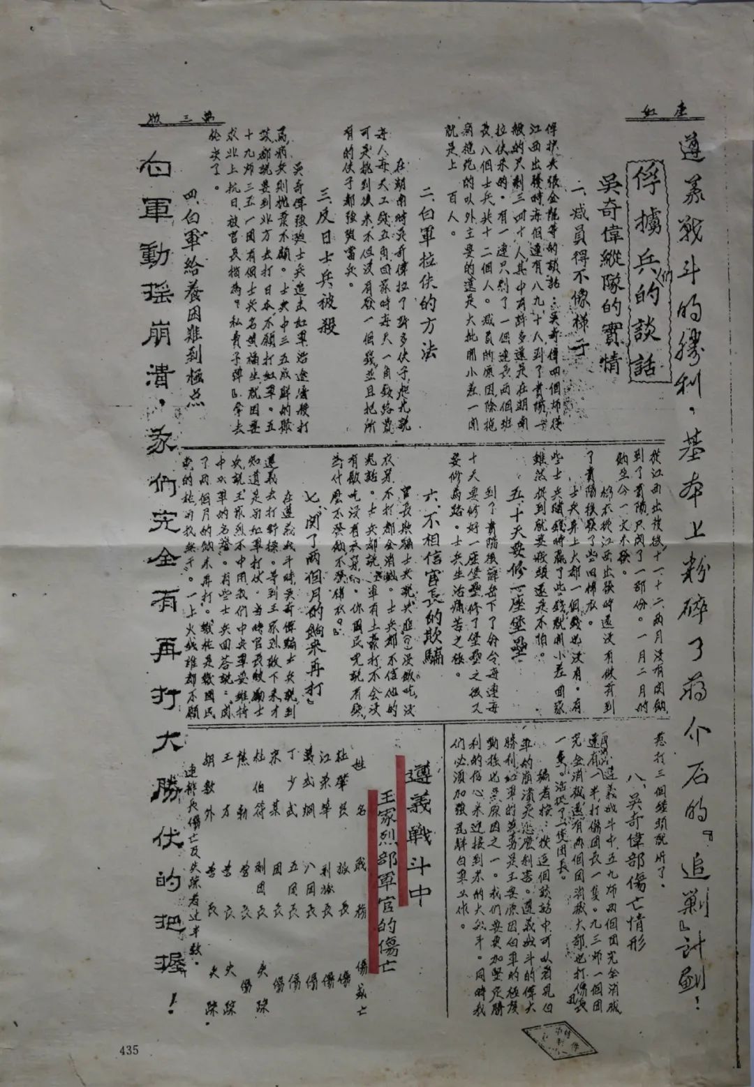
《红星报》在历史的长河中,宛如一颗璀璨的星辰。它详细报道了遵义战役中敌军的损失,记录了红军长征过程中的一次关键性胜利——遵义战役。在遵义会议调整军事领导之后,红军取得了重大胜利,这一胜利背后蕴含着丰富的战略价值,凝聚了无数将士的心血。

《红星报》的创刊

反流性食管炎_反文旁_反日

1931年12月11日,《红星报》在江西瑞金问世。这份报纸是红军军事委员会的机关报,由总政治部负责编辑和发行。创刊之初,旨在提升红军的政治和文化水平,力求将红军打造为坚不可摧的铁军。在瑞金发行的三年间,《红星报》宛如一座知识的宝库,为红军战士们提供了丰富的精神食粮。那段时间,许多红军战士从《红星报》中汲取力量,这一幕幕至今仍历历在目。

邓小平主编时期

1933年8月到1935年1月,遵义会议召开之前,邓小平同志负责编辑工作。在这段时间,《红星报》或许呈现出与众不同的风格。邓小平的远见卓识或许在编辑过程中得到了体现。那时的报纸内容可能更加贴近红军战士的实际需求。在他的主编时期,《红星报》的发行量相当可观,对红军的思想统一和武装思想起到了关键作用。

多样的版面编排

反文旁_反流性食管炎_反日

《红星报》内容十分丰富,包含社论、要闻等基础内容,还有许多固定专栏。比如《党的生活》这样的17个专栏,以及文艺副刊。这些板块满足了红军战士们的多样化需求。报纸图文并茂,语言通俗易懂,仿佛将红军生活的各个层面都浓缩在一张纸上。战士们可以了解军事动态,窥探党内生活,还能阅读文艺作品,极大地丰富了他们的业余生活。

长征途中的《红星报》

1934年10月,《红星报》编辑部与红军主力一同踏上长征路。即便条件极为恶劣,他们仍坚持出版长征专号。从铅印变为油印,传播消息的脚步未曾停歇。他们共出版了28期专号,肩负着记录长征、宣传长征的重任,是军委机关报的唯一担当。在这段艰难岁月里,《红星报》发挥了至关重要的作用,是红军战士们了解战场和战略部署的关键窗口。

遵义战役报道

遵义战役结束后,《红星报》详尽地公布了胜利的消息。它不仅公布了王家烈部军官的伤亡情况,还具体描绘了国民党部队的溃败景象。报道中提及了俘虏的谈话和吴奇伟纵队的真实状况。这些内容极大地鼓舞了红军的士气,使战士们认清了国民党军队的脆弱,为战争的胜利打下了坚实的心理基础。在那个信息封锁的年代,这样的报道无疑起到了振奋人心的作用。

《红星报》的深远意义

回望《红星报》,这份报纸已成为历史的见证。透过它的版面,我们目睹了战争的残酷,也感受到了共产党人在逆境中的乐观与坚韧。它鼓舞着后人汲取前人的力量,勇往直前。红军战士在艰难困苦中,凭借坚定的信念赢得了胜利。如今,我们在追求中华民族伟大复兴的道路上,能否像红军战士从《红星报》中汲取力量那样,吸收各种正能量?希望各位能讨论交流,共同为实现中国梦贡献力量。

转载请保留本版权:https://www.yjhpg.com/baike/2294.html


全站制度法律真理rar下载20260129更新


Copyright © 2023 和平民主王国(原永久和平国) yjhpg.com XML地图